Gene Bio Systems
LE Agarose
LE Agarose
SKU:ELA-03-01
Regular price
$81.89 CAD
Regular price
$116.99 CAD
Sale price
$81.89 CAD
Unit price
per
Shipping calculated at checkout.
Couldn't load pickup availability
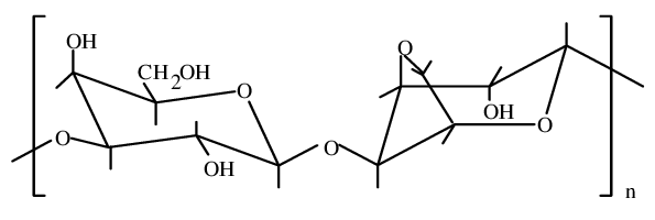
GeneBio's LE agarose is a ultra pure agarose indicated for all your molecular biology agarose DNA electrophoresis experiments.
Features include
- Nuclease and protease-free
- Low electroendosmosis (EEO) so you get a high quality gel each time
- Great for analyzing your PCR products, plasmid preps, restriction digestion and other DNA fragment analyses
- High gel strength so that you can pick up and move your gels around without breakage
- Low in sulfide and other impurities.
